GT 오픈마켓

고객을 위한 새로운 쇼핑 트랜드를 만들어 갑니다.

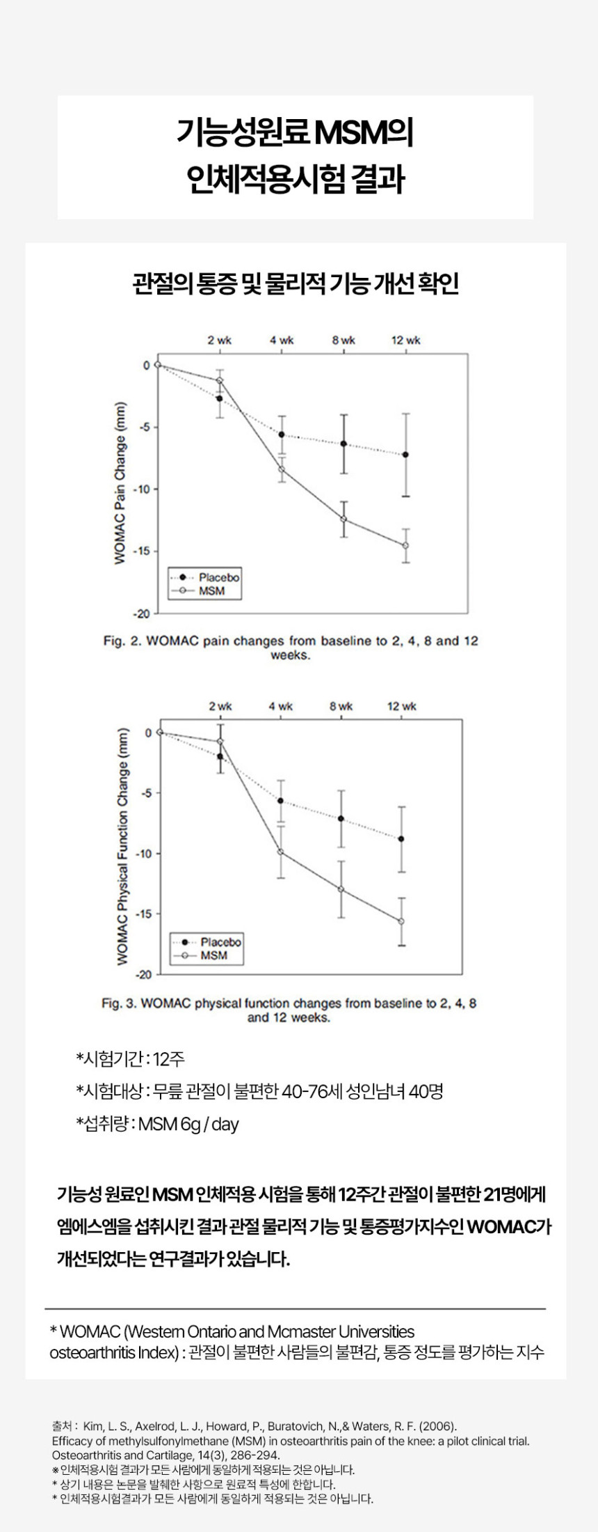
[오픈마켓] 라이프허브 관절 뼈건강엔 MSM 엠에스엠 비타민D

  • 수량

제품소재 제품 상세정보 참고
색상 제품 상세정보 참고
치수 제품 상세정보 참고
제조자 제품 상세정보 참고
세탁방법 및 취급시 주의사항 제품 상세정보 참고
제조연월 제품 상세정보 참고
품질보증기준 제품 상세정보 참고
A/S 책임자와 전화번호 070-7806-0579